ΣΥΓΓΡΑΜΜΑΤΑ – ΕΥΔΟΞΟΣ
Σύμφωνα με το έγγραφο του Υπουργείου Παιδείας (https://eudoxus.gr/files/Dianomi_Earinou_2017-18.pdf) σχετικά με τις δηλώσεις διδακτικών συγγραμμάτων και τη διανομή αυτών στους φοιτητές για το εαρινό εξάμηνο του ακαδημαϊκού έτους 2017-2018, σας ενημερώνουμε για τα παρακάτω:
16/3/2018 Προσκληση εκδήλωση ενδιαφέροντος για θέσεις αμειβομενων Φοιτητων έτους 2018
16/3/2018 Προσκληση εκδήλωση ενδιαφέροντος για θέσεις αμειβομενων Φοιτητων έτους 2018
13/3/2018 Προκήρυξη 4 θέσεων για φοιτητές του Τμήματος Μηχανικών Πληροφορικής
Προκήρυξη 4 θέσεων για φοιτητές του Τμήματος Μηχανικών Πληροφορικής
Ημερομηνία, 12-3-2018
Τμήμα Μηχ. Πληροφορικής
Γραμματικάκης Μιλτιάδης, Καθηγητής
2810379706
mdgramma@cs.teicrete.gr
13/3/2018 Διδακτορική υποτροφία"/ "PhD Scholarship (De Montfort University Graduate School Full Bursary PhD Scholarship)
13/3/2018 Διδακτορική υποτροφία"/ "PhD Scholarship
De Montfort University Graduate School Full Bursary PhD Scholarship
Title of Project: Deep Learning and Cognitive Techniques for Big Gait Data Analysis
12/3/2018 Έργα Ανοικτού Λογισμικού - Google Summer Code 2018
12/3/2018 Έργα Ανοικτού Λογισμικού - Google Summer Code 2018
OPEN SOURCE APPLICATIONS FOR INDUSTRIAL AUTOMATION
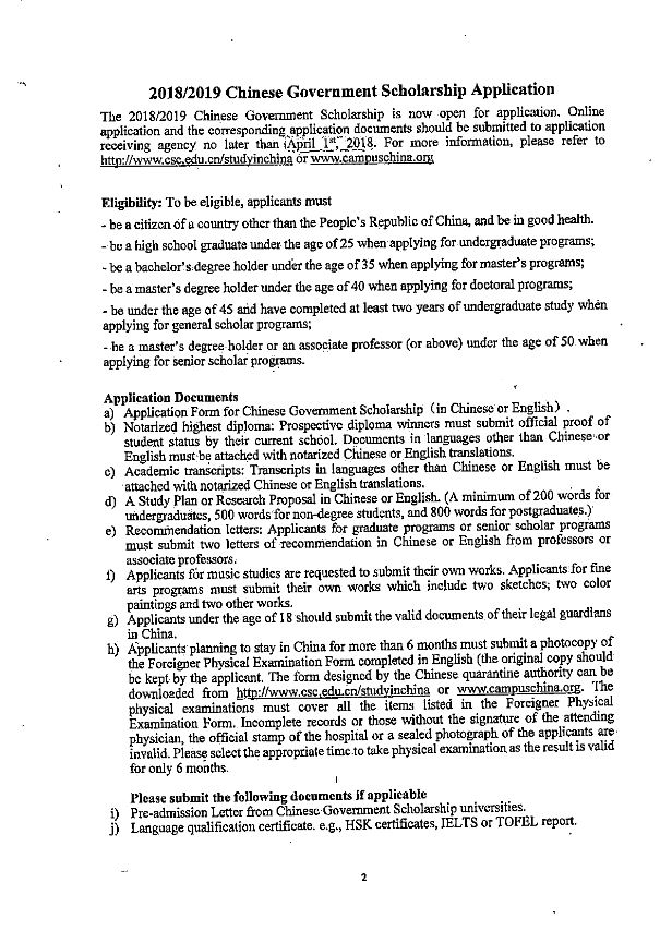
27/2/2018 ΧΟΡΗΓΗΣΗ ΥΠΟΤΡΟΦΙΩΝ ΣΕ ΕΛΛΗΝΕΣ ΦΟΙΤΗΤΕΣ ΑΠΟ ΤΗΝ ΚΙΝΑ ΑΚ.ΕΤΟΥΣ 2018-19
27/2/2018 ΧΟΡΗΓΗΣΗ ΥΠΟΤΡΟΦΙΩΝ ΣΕ ΕΛΛΗΝΕΣ ΦΟΙΤΗΤΕΣ ΑΠΟ ΤΗΝ ΚΙΝΑ ΑΚ.ΕΤΟΥΣ 2018-19




21/2/2018 ΠΑΡΑΤΑΣΗ ΑΝΑΝΕΩΣΕΩΝ ΕΓΓΡΑΦΩΝ - ΔΙΟΡΘΩΤΙΚΕΣ ΔΗΛΩΣΕΙΣ ΜΑΘΗΜΑΤΩΝ
21/2/2018 ΠΑΡΑΤΑΣΗ ΑΝΑΝΕΩΣΕΩΝ ΕΓΓΡΑΦΩΝ - ΔΙΟΡΘΩΤΙΚΕΣ ΔΗΛΩΣΕΙΣ ΜΑΘΗΜΑΤΩΝ
Οι ανανεώσεις εγγραφών και οι δηλώσεις μαθημάτων ΠΑΡΑΤΕΙΝΟΝΤΑΙ από ΠΕΜΠΤΗ 22/02/2018 μέχρι και ΚΥΡΙΑΚΗ 25/02/2018.
Όλοι οι φοιτητές μπορούν να προβούν σε δήλωση ή διόρθωση:


